道德尺度:义务与卓越的分界线,引发道德论争的关键所在?
道德尺度:义务与卓越的分界线,引发道德论争的关键所在? 道德尺度 当我们考虑各种类型的道德问题的时候,我们可以很方便地设想出某种刻度或标尺,它的最低起点是社会生活的最明显要求,向上逐渐延伸到人类愿...
道德尺度:义务与卓越的分界线,引发道德论争的关键所在? 道德尺度 当我们考虑各种类型的道德问题的时候,我们可以很方便地设想出某种刻度或标尺,它的最低起点是社会生活的最明显要求,向上逐渐延伸到人类愿...
初级会计职称经济法基础第四章第三节:消费税税率及计算要点 本文分享初级会计职称《经济法基础》第四章第三节消费税法律制度知识点,详细介绍消费税的税率和征税方法知识点,同时考生一定要搭配消费税历年真题...
全国首单落地!广东粤澳合作发展基金首笔收益分配及税收减免案例 近日,广东粤澳合作发展基金(有限合伙)(以下简称“粤澳基金”)向其澳门投资方汇出首笔收益分配款项,合计4亿元。横琴新区税务部门根据《内...
赵洪、王仁法等学者对研究性教学相关问题的探讨:文献综述 赵洪.研究性教学与大学教学方法改革.高等教育研究, 2006,(2):71-75. 王仁法.创新思维教育在高校的全方位渗透.高教探索,200...
商品房和汽车交易能否受消法49条调整?各方争论不断 关于生活消费领域的商品房和汽车交易应否受《消法》49条的调整,一次次引起人们的争论。房产商们与广大消费者间的激烈争议自不必说,学者间也存有肯定与...
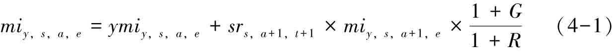
新时代高质量发展财富指数测算与结构分析:基于J-F终身收入法 4.3 新时代高质量发展财富指数的测算与结构分析 依据新时代高质量财富指数的三大维度,结合数据的可得性,我们将分别统计1997—201...
4月28日法本信息发布2024年年报,营收利润等情况如何? 4月28日,法本信息发布2024年年报。报告显示,公司2024年营业收入为43.21亿元,同比增长11.22%;归母净利润为1.31亿元...
内地与澳门避免双重征税安排第四议定书落地,粤澳基金享免税待遇 内地与澳门避免双重征税安排第四议定书落地 记者7月1日从国家税务总局广东省税务局获悉,近日,广东粤澳合作发展基金(有限合伙)(以下简称...
初级会计职称经济法基础第四章第三节知识点分享 本文分享初级会计职称《经济法基础》第四章第三节消费税法律制度知识点,详细介绍外购和委托加工收回的已纳税款扣除、扣除范围知识点,同时考生一定要搭配消费税...
创业1-2年员工突破50人时,法律风险为何会集中爆发? 创业1~2年内,员工人数突破50人时,法律风险会集中爆发! 创业公司要面临劳动人事,合同,公司治理,商业模式,知识产权,融资等至少6类的风...
今年前三季度 14.75 万亿元新增贷款投向明晰,各领域情况如何? 今年前三季度14.75万亿元人民币新增贷款的投向明晰。 中国人民银行10月24日公布的2025年三季度金融机构贷款投向统计报告显...
今年上半年氨纶市场疲软,新乡化纤、华峰化学等业绩下滑 中经记者 陈家运 北京报道 今年上半年,氨纶市场表现疲软,受此拖累,新乡化纤(.SZ)、华峰化学(.SZ)等化纤巨头的业绩普遍下滑。 8月20...
7月25日法本信息股价微跌,两融数据展现别样态势 7月25日,法本信息跌0.21%深圳法本股份有限公司,成交额2.75亿元。两融数据显示,当日法本信息获融资买入额4037.55万元,融资偿还411...
深入剖析创新思维:五大显著特点及联想性的重要作用 创新思维,这一以新颖独创的方法解决问题的思维过程,常常能引领我们突破常规思维的束缚。它鼓励我们以超常规甚至反常规的方式去思考和探索,从而提出别具一...
4月28日法本信息发布2025年一季报,营收利润情况如何? 4月28日,法本信息发布2025年一季报。报告显示,公司一季度营业收入为10.79亿元,同比增长7.85%;归母净利润为2750.40万...